Der Abwahlsonntag ist vorbei, die Stimmen sind ausgezählt, einige Sektkorken sind geflogen, Ernüchterung ist nun bei vielen wieder eingekehrt.
Wer hat denn nun gewonnen?
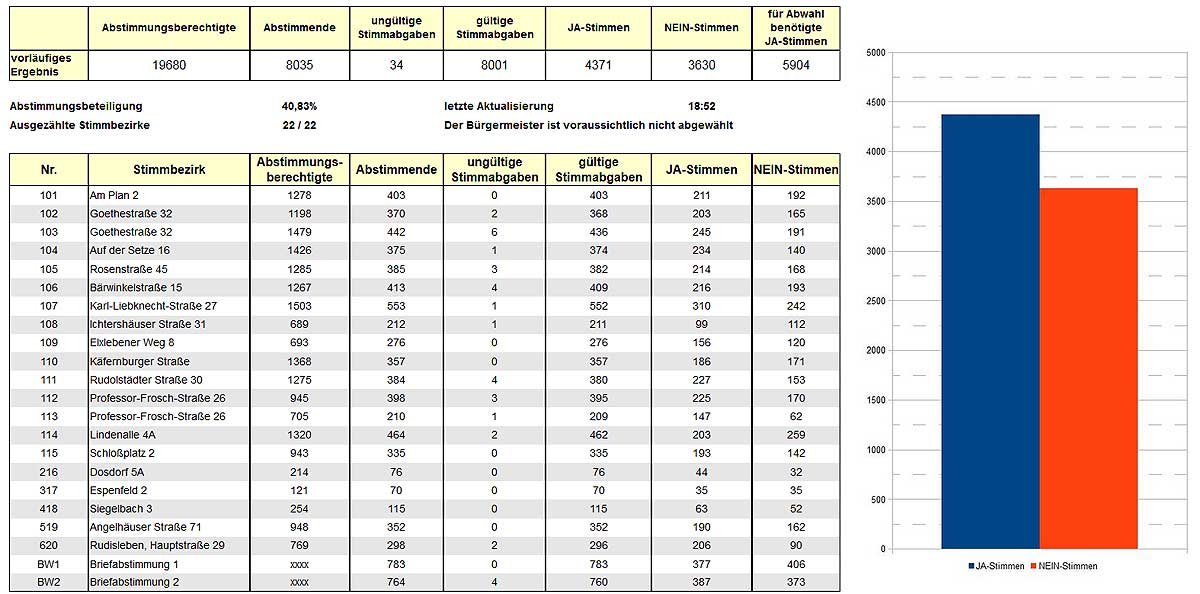
Nun, das Ergebnis sieht so aus, dass die Abwahlkoalition von 21 Stadräten ihr Ziel nicht erreicht hat, Bürgermeister Alexander Dill aus seinem Amt zu kegeln. Sie hätten nach offizieller Zählung 5904 Stimmen hinter sich bringen müssen, die für die Abwahl wären – sie kamen nur auf 4371. Gut 1500 Stimmen mehr hätten ihnen den Sieg verschafft, die hätten sie gebraucht, hätten – hatten sie aber nicht.
Nun werden Wunden geleckt und die Visiere möglicherweise für kurze Zeit hochgeklappt.
Dass die Abwähler ihre Standpunkte aufgeben – mich würde es wundern.
Bei den Unterstützern des Bürgermeisters sieht es so aus, dass ersteinmal Erleichterung darüber besteht, dass die Abwahl nicht Realität wurde – sicher, das ist auch gut zu verstehen. Gewonnen hat dieses Lager allerdings auch nicht, von den insgesamt 8001 gültigen Stimmen haben fast 55% für die Abwahl gestimmt, das ist schon bitter.
Mehrheiten sehen anders aus, lediglich die graue Masse der Nichtwähler hat die ganze Sache letztendlich glimpflich ausgehen lassen. Dass die Nichtwähler allerdings Nichtwähler waren, weil sie damit die Abwahl torpedieren wollten, wie es jetzt mancherorts zu hören ist, halte ich doch für Augenwischerei.

Vorläufiges Endergebnis des Bürgerentscheides zur „Abwahl des Bürgermeisters der Stadt Arnstadt“
(Quelle: Screenshot von www.arnstadt.de)
Verloren haben bei diesem Abwahlverfahren alle Seiten und nicht zuletzt auch die Stadt Arnstadt selbst. Tiefe Gräben haben sich aufgetan, die nur schwer zu überbrücken sein werden. Geld und Zeit wurden verbraten, die anderweitig bestimmt besser hätten eingesetzt werden können.
Ob und wie es nun weitergeht, werden die nächsten Wochen offenbaren. Möglicherweise kommen die Arnstädter doch wieder zur Vernunft.
Genau so ist das zu werten. Und genauso ist es, dass bereits heute bei Facebook eine Vertreterin der Linken auf der Startseite von Facebook weiter macht, wo sie vergangene Woche aufgehört hat, und sie meint, anders als sie Denkende belehren und als „Flöten“ bezeichnen zu müssen. Nicht gerade gut für das Ansehen der eigenen Fraktion im Stadtrat. Es erinnert an ein verzogenes, quängeldes Kind an der Kasse im Discounter, weil es mal keine Schokolade gibt.
Man kann nur hoffen, dass irgendwann VERNUNFT, STIL und HÄNDEREICHEN über diese tiefen Gräben zum Tag- und Zukunftswerk gehört.
Klaus-Jochen Wahl
Diplomkulturwissenschaftler i.R.
Malerei / Grafik / Cartoons